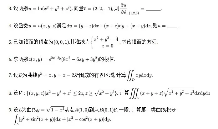
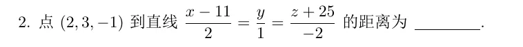
浙江大学2021-2022学年春夏学期微积分(H)II 期末考试试卷 杰书网客 2024年11月14日 15:35 637 0 浙江大学2021-2022学年春夏学期微积分(H)II 期末考试试卷 标签: #期末试卷 #学习资料 #历年试题 #微积分
评论列表