浙江大学2022~2023学年度春夏学期微积分(乙)Ⅱ期末考试试题解析

杰书网客 1.1K 1

浙江大学2022~2023学年度春夏学期微积分(乙)Ⅱ期末考试试题解析


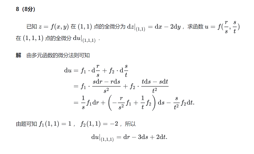
1(7分)  已知空间四个点 A(1,−1,0) , B(0,1,2) , C(2,1,3) , D(−1,0,p) 共面,求p的值并判断 A, C ,D  三点是否共线?


162.png

163.png

164.png

165.png


166.png

167.png

168.png

169.png170.png

171.png

172.png173.png174.png175.png176.png

177.png178.png179.png

181.png182.png

来源:知乎 作者:lSonic

浙江大学2022~2023学年度春夏学期微积分(乙)Ⅱ期末考试试题解析


标签: #学习资料 #微积分 #期末试卷

  • 评论列表

  • 浙江大学2022~2023学年度春夏学期微积分(乙)Ⅱ期末考试试题解析

    2024年05月05日 20:53

留言评论