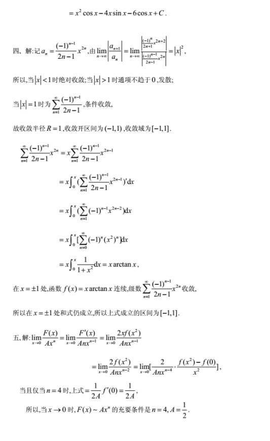
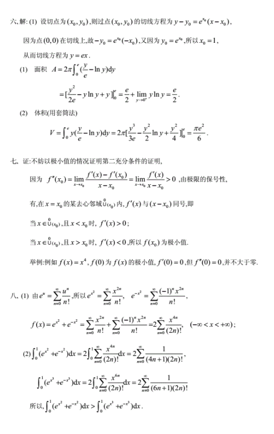
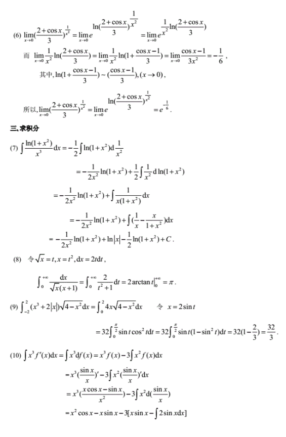
浙江大学微积分1期末考试题(第六套参考答案)
标签: #学习资料 #微积分 #期末试卷
上一篇2009-2010学年第一学期浙江大学微积分1期末考试题(第六套)
下一篇2010-2011学年第一学期浙江大学微积分1期末考试题(第七套)
评论列表
留言评论取消回复
评论列表