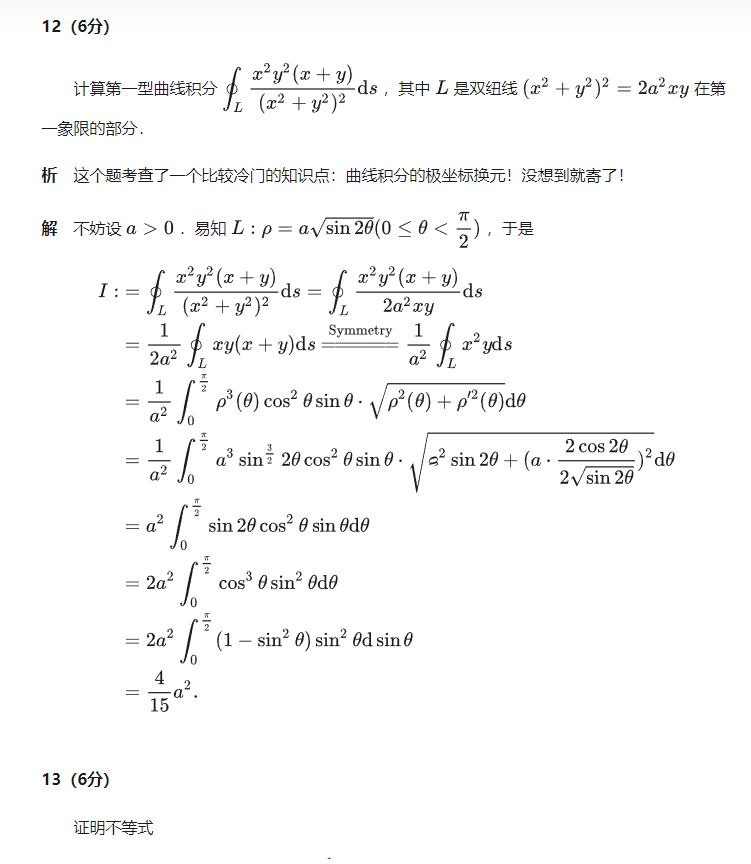
浙江大学2022~2023学年度春夏学期微积分甲Ⅱ期末考试试题解析 杰书网客 2024年01月13日 18:06 1.4K 2 浙江大学2022~2023学年度春夏学期微积分(甲Ⅱ)期末考试试题解析来源:知乎 作者:lSonic浙江大学 2012-2013学年春学期《微积分甲II》课程期末考试历年试卷浙江大学 2015-2016学年春学期《微积分甲II》课程期末考试真题试卷浙江大学2016-2017学年春学期《微积分甲II》课程期末考试试卷解析浙江大学 2018-2019学年春学期《微积分甲II》课程期末考试试卷及解析浙江大学 2019-2020学年春学期《微积分甲II》课程期末考试试卷浙江大学 2020-2021学年春学期《微积分甲II》课程期末考试试卷浙江大学 2021-2022学年春学期《微积分甲II》课程期末考试试卷解析浙江大学2022~2023学年度春夏学期微积分甲Ⅱ期末考试试题解析浙江大学2022~2023学年度春夏学期微积分(乙)Ⅱ期中考试试题解析浙江大学2022~2023学年度春夏学期微积分(乙)Ⅱ期末考试试题解析 标签: #期末试卷 #学习资料 #微积分 #微积分甲II
评论列表
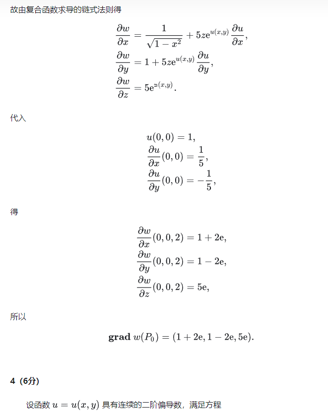
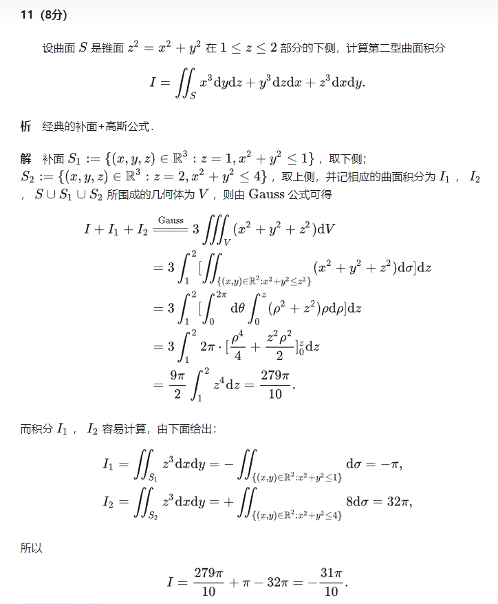
浙江大学2022~2023学年度春夏学期微积分甲Ⅱ期末考试试题解析
2024年04月16日 18:01浙江大学2022~2023学年度春夏学期微积分甲Ⅱ期末考试试题解析,与历年试题配套使用
2024年05月05日 20:54